Proposed Zoning Updates – Pikeville, Kentucky

The City of Pikeville is currently reviewing proposed updates to its zoning ordinance and zoning map. These updates are intended to comply with changes in Kentucky law, including KRS 100.348, and to modernize portions of the city’s zoning regulations.

The goal of these updates is to protect neighborhood character, support appropriate housing and business development, and ensure the city’s zoning framework reflects how Pikeville continues to grow.

 

This page provides information about the proposed changes, including an interactive map that allows residents to compare the current zoning map with the proposed zoning map, review supporting materials, and submit comments during the review process.

 

 

How to Use the Interactive Zoning Map

The interactive map allows residents to explore zoning districts across the City of Pikeville and compare the current zoning map with the proposed zoning map.

Viewing Current vs. Proposed Zoning

  • Click the Layers button on the map.
  • Turn Pikeville_Zoning on or off to view the current zoning.
  • Turn Proposed Zoning Map 2026_WFL1 view on or off to view the proposed zoning.

This allows you to toggle between the two maps to compare zoning in different areas of the city.

Zooming

  • Use the + and – buttons on the map
  • Scroll with your mouse wheel
  • Double-click an area to zoom in

Changing the Background

Click the Basemap button to change the background to aerial imagery, streets, or other map
styles.

Legend

Click the Legend button to see the colors used for each zoning district on the map.

Current Zoning Districts

Proposed Residential Zoning Districts

Current Residential Zoning Districts

The following residential zoning districts are used in the city’s current zoning ordinance.

R-1 – One-Family Residential District
Primarily single-family homes on individual lots.

R-1A – Inner-City One-Family Residential District
Single-family homes in older, more compact neighborhoods closer to the city center.

R-1T – Townhouses Residential District
Townhouse-style residential development.

R-2 – One- and Two-Family Residential District
Allows single-family homes and duplexes.

R-3 – One- and Multiple-Family Residential District
Allows a mix of housing types, including multi-family residences.

MP – Mobile Home Park District
Areas designated for mobile home park developments.

Proposed Residential Zoning Districts

The proposed zoning map reorganizes residential districts to better reflect existing neighborhood patterns and current housing needs.

R-1A – Traditional Single-Family Residential District

Single-family homes in established neighborhoods with traditional development patterns.

Compatibility Standards

All single-family dwellings constructed in this zone shall meet the following minimum architectural compatibility standards:
(1) Minimum livable area: 900 sq ft
(2) Minimum roof pitch: 4:12
(3) Exterior materials: Exterior materials shall be limited to brick, stone, wood, fiber cement siding, vinyl siding, or other materials possessing durability and fire-resistance ratings equal to or exceeding those of fiber cement siding as certified by manufacturer testing.
(4) Permanent foundation skirting or continuous perimeter foundation.
(5) At least one entrance structure (porch, stoop, deck, or attached garage).
(H) Roof pitch variance.
The Board of Zoning Adjustment may approve a variance to the minimum roof pitch requirement only where the applicant demonstrates that the roof design is a documented characteristic of a recognized architectural style utilizing flat or low-slope roofs. Variances shall not be granted for reductions based solely upon construction convenience or cost avoidance.


R-1B – Neighborhood Single-Family Residential District

Single-family homes in typical neighborhood settings.

Compatibility Standards

All single-family dwellings constructed in this zone shall meet the following minimum architectural compatibility standards:
(1) Minimum livable area: 1,500 sq ft
(2) Minimum roof pitch: 5:12
(3) Exterior materials: Brick, stone, wood, fiber cement siding, or materials possessing durability and fire-resistance equal to brick or fiber cement siding. Vinyl siding may be used only as a secondary or accent material.
(4) Permanent continuous perimeter foundation or solid masonry skirting.
(5) At least one entrance structure (porch, stoop, or attached garage).
(H) Roof pitch variance.
The Board of Zoning Adjustment may approve a variance to the minimum roof pitch requirement only where the applicant demonstrates that the roof design is a documented characteristic of a recognized architectural style utilizing flat or low-slope roofs. Variances shall not be granted for reductions based solely upon construction convenience or cost avoidance.


R-1C – Estate Single-Family Residential District

Single-family homes on larger lots with lower overall density.

Compatibility Standards

All single-family dwellings constructed in this zone shall meet the following minimum architectural compatibility standards:
(1) Minimum livable area: 2,500 sq ft
(2) Minimum roof pitch: 6:12
(3) Exterior materials: Brick, stone, natural wood or wood products possessing durability and fire-resistance ratings equal to masonry construction. Synthetic materials shall be limited to secondary or trim elements.
(4) Permanent continuous perimeter foundation or solid masonry skirting.
(5) At least one entrance structure (porch, stoop, or attached garage).
No Variance allowed for flat roofs.


R-1H – Historic Single-Family Residential District

Single-family homes in areas with historic neighborhood character.

Compatibility Standards

All single-family dwellings constructed in this zone shall meet the following minimum architectural compatibility standards:
(1) Minimum livable area: 900 sq ft
(2) Minimum roof pitch: 6:12
(3) Exterior materials: Primary façade shall consist of brick, stone, natural wood lap siding, fiber cement lap siding, visually equivalent materials matching historic dimensions and profiles common within the district. Vinyl siding prohibited on street-facing façades.
(4) Continuous perimeter foundation or masonry skirting visually consistent with neighboring dwellings.
(5) A front porch, stoop, or portico is required.
(6) Garage Maximum: A maximum of one-car garage attached or detached only, with the latter being behind the structure.
No variance allowed for flat roofs.

 

R-2 – Urban Residential District
Moderate-density housing areas allowing a mix of residential types.

Compatibility Standards

(1) Single-family detached dwellings, subject to the same lot, dimensional, and compatibility standards applicable to the R-1B District.

 

R-3 – Neighborhood Residential District
Areas that may include multiple housing types such as duplexes or multi-family residences.

Compatibility Standards

(1) Single-family detached dwellings, subject to the same lot, dimensional, and compatibility standards applicable to the R-1A District.

 

MP – Mobile Home Park District
Areas designated for mobile home park developments.

Compatibility Standards

(1) Single-family detached dwellings, subject to the same lot, dimensional, and compatibility standards applicable to the R-1A District.

 

Commercial and other zoning districts rules remain largely unchanged and can be viewed in the
interactive map legend.

                                      Press Release

Zoning Modification

Draft Home Occupation OrdinancePDF
Draft Ordinance

§ 156.058 HOME OCCUPATIONS

(A) Purpose

Home occupations are permitted to encourage small businesses and personal entrepreneurship while preserving the residential character of neighborhoods. Regulations are intended to control only those activities that create impacts outside the home, not the type of work performed inside.

(B) Definition

A Home Occupation is any business, profession, service, or trade conducted within a dwelling unit or its attached accessory spaces which is clearly secondary to the residential use of the property and operates in a manner that does not significantly alter the residential character of the neighborhood.

(C) Permitted Home Occupations

A home occupation is allowed in any residence without a conditional use permit so long as all of the following standards are met:
  1. The business shall be operated by a resident of the dwelling.
  2. The business shall be conducted within the dwelling or customary accessory structures.
  3. No more than two (2) non-resident employees may work on the premises at any time.
  4. The residential appearance of the property shall not be altered.
  5. No commercial signs or exterior advertising shall be permitted unless otherwise allowed in the regulations for the zoning district in which the dwelling is located.
  6. No outdoor storage or display of materials or merchandise shall be permitted.
  7. Client and customer visits shall be managed to avoid impacts comparable to commercial operation. No more than four (4) clients, customers, and/or non-resident employees shall be present at any single time, and scheduling shall not create traffic patterns or parking demand exceeding normal residential activity.

(D) Traffic & Parking

The business shall not generate traffic or require additional on-site or street parking beyond what is typical of a residential use.

(E) Noise, Safety, and Nuisance

  1. No noise, vibration, odor, dust, glare, smoke, or similar impacts shall be detectable beyond the property line.
  2. Equipment, tools, or activities may be used provided they do not create detectable external impacts.
  3. The business shall not create a public safety hazard.

(F) Vehicles

  1. No vehicle larger than a standard pickup truck or cargo van may be parked or stored on the property or the adjacent street as part of the business.
  2. No dump trucks, box trucks, or commercial equipment haulers may be kept on site.
  3. One utility trailer or equipment trailer not exceeding 16 feet in length may be stored on site in connection with a home occupation. The length restriction shall not apply to mobile food vendors.

(G) Conditional Home Occupations

A home occupation that does not meet the standards of part (C) may be allowed by the Board of Zoning Adjustment as a conditional use only in circumstances where the proposed operation is such that it either is or can be reasonably conditioned so that external impacts remain comparable to residential use in order to protect surrounding residences. The BZA may impose reasonable conditions including, but not limited to:
  • Limits on hours of operation
  • Customer visit scheduling
  • Parking locations
  • Noise mitigation
  • Equipment placement or enclosure

(H) Prohibited Home Occupations

  1. Adult-oriented businesses.
  2. Any use involving the sale of alcoholic beverages for on-site consumption.
  3. Automobile repair involving frequent outdoor storage of vehicles.
  4. Businesses involving hazardous materials prohibited by state or federal law.
  5. Walk-in retail sales or storefront business operations open to the general public.

(I) Enforcement

  1. Enforcement shall be initiated by complaint or observable violation.
  2. Violations shall focus solely on external impacts.
  3. The city shall not regulate interior business operations except as required for enforcement of applicable building, fire, health, or safety codes.
Draft Accessory Dwelling Unit OrdinancePDF
Draft Ordinance

§ 156.059 ACCESSORY DWELLING UNITS (ADUs)

(A) Purpose

The purpose of this section is to permit accessory dwelling units as a housing option while maintaining compatibility with residential neighborhoods.

(B) Definition

An Accessory Dwelling Unit (ADU) is a self-contained dwelling unit located on the same lot as a lawful single-family dwelling, containing independent living facilities for sleeping, eating, cooking, and sanitation, and designed to function as a subordinate residential unit.

(C) Permitted ADUs

One (1) accessory dwelling unit is permitted on any lot containing a lawful single-family dwelling in all residential zoning districts, subject to compliance with all standards of this section.

(D) Types of ADUs

Accessory dwelling units may be either:
  1. Integrated ADUs: Developed within the principal structure, including interior conversions or additions.
  2. Detached ADUs: Located within a detached accessory structure.

(E) General Standards

  1. Maximum Size. An ADU shall not exceed eight hundred (800) square feet of habitable floor area and shall be subordinate in size to the principal dwelling unit. Notwithstanding the foregoing, an accessory dwelling unit created entirely within the existing footprint of a detached garage or other lawfully existing accessory structure may exceed eight hundred (800) square feet, provided that:
    1. The accessory structure existed prior to the effective date of this ordinance;
    2. No expansion of the structure occurs for the purpose of creating or enlarging the ADU; and
    3. The resulting ADU remains clearly subordinate to the principal dwelling unit in scale and appearance.
  2. Rental Duration. An ADU shall not be rented, leased, or otherwise occupied for periods of less than thirty (30) consecutive days.
  3. Separate Conveyance Prohibited. An ADU shall not be sold, deeded, or otherwise conveyed separately from the principal dwelling unit.
  4. Permanent Foundation. All detached ADUs shall be constructed on a permanent foundation.
  5. Code Compliance. All ADUs shall comply with all applicable building, fire, health, and sanitation codes. Manufactured housing used as an ADU shall comply with all applicable federal and state manufactured housing standards and installation requirements, including KRS 227.540.

(F) Location and Compatibility

  1. Setbacks and Yard Placement. Detached ADUs shall comply with all setback, yard, and dimensional requirements applicable to accessory structures within the zoning district. Detached ADUs shall not be permitted in front yards.
  2. Exterior Compatibility. A detached ADU shall be designed to maintain substantial exterior compatibility with the principal dwelling, including consistency in building materials, roof pitch and form, general architectural style, and exterior finishes or colors. Compatibility shall not require the structures to be identical but shall ensure that the ADU remains visually subordinate and complementary to the principal dwelling.

(G) Utilities

  1. Existing Principal Dwellings. Notwithstanding §54.05, an accessory dwelling unit added to an existing principal dwelling may be permitted to share utility service connections and meters with the principal dwelling, subject to approval by the city in accordance with applicable utility service regulations.
  2. New Construction. Where a principal dwelling and an ADU are constructed simultaneously, each dwelling unit shall be required to connect to utilities on a fully metered basis with separate meters and billing accounts in compliance with §54.05.

(H) Manufactured Housing

  1. A manufactured home may be used as a detached ADU only if it:
    1. Was manufactured on a date not to exceed five (5) years prior to the date of installation;
    2. Is installed on a permanent foundation;
    3. Is installed and connected to utilities in compliance with KRS 227.540 and all applicable state installation requirements;
    4. Has a minimum width of twenty (20) feet at its narrowest measurement;
    5. Meets all other requirements of this section applicable to detached ADUs.
  2. Recreational vehicles, travel trailers, campers, prefabricated sheds or utility buildings, or other movable or temporary structures shall not be permitted as accessory dwelling units.

(I) Parking

Notwithstanding any other provision of this code, no additional off-street parking spaces shall be required for an accessory dwelling unit beyond that required for the principal dwelling.

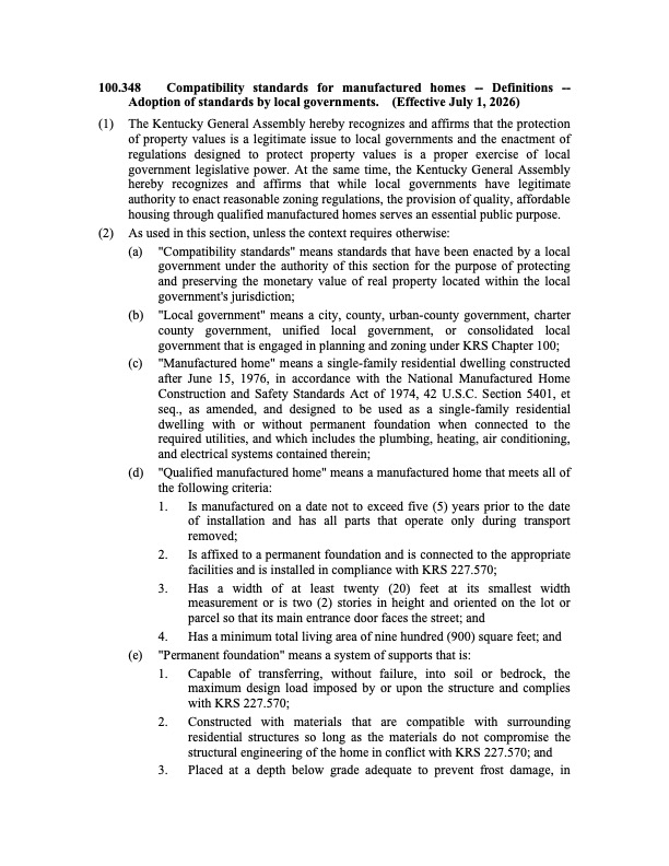
Kentucky House Bill 160/KRS 100.348

In 2025, the Kentucky General Assembly passed House Bill 160, which amended state law related to zoning and manufactured housing. The bill was signed into law on April 1, 2025 and will take effect on July 1, 2026 as KRS 100.348.

The law requires local governments to allow qualified manufactured homes in residential areas where single-family homes are permitted, provided they meet specific standards including being no older than five years old. Local governments may still adopt compatibility standards, such as square footage, roof pitch, exterior materials, and similar design standards, as long as those standards apply equally to manufactured homes and site-built homes.

The proposed zoning updates being reviewed by the City of Pikeville include changes intended to comply with this state law while protecting the character of existing neighborhoods.

Learn more about the legislation:

https://www.manufacturedhomes.com/blog/kentucky-enacts-hb-160-promote-equal-treatment-manufactured-homes/

                  Kentucky House Bill 160/KRS 100.348

Frequently Asked Questions

The city is reviewing portions of its zoning ordinance to comply with recent changes in Kentucky law, including KRS 100.348, and to update parts of the zoning framework that have become outdated over time. The review also allows the city to make improvements that support responsible housing and business development while protecting existing neighborhoods.

The proposed zoning map reorganizes some residential zoning districts to better reflect the development patterns that currently exist in Pikeville’s neighborhoods. The goal is to create zoning districts that more closely match how different parts of the city are built today. Most commercial, industrial, and institutional zoning districts remain largely unchanged.

As part of this process, the city studied 101neighborhoods and reviewed the characteristics of homes throughout the city. The proposed residential districts are intended to better reflect the size, density, and development patterns already present in those neighborhoods.

House Bill 160, passed by the Kentucky General Assembly in 2025, created KRS 100.348, which establishes new rules regarding manufactured housing and zoning.

The law requires that certain manufactured homes be allowed in areas where single-family homes are permitted, provided they meet specific standards.

Local governments are allowed to adopt compatibility standards to help ensure new homes fit reasonably with surrounding homes.

State law requires that certain manufactured homes be treated the same as site-built homes in residential districts if they meet required standards. The proposed zoning updates include compatibility standards intended to help ensure new homes fit within the character of existing neighborhoods.

Some properties may be placed in a different zoning district under the proposed map in order to better reflect existing neighborhood patterns and development characteristics. However, regardless of any change in zoning, property owners may continue to use their property as they currently are until they choose not to. Residents can review both the current and proposed zoning maps using the interactive map tool on this page.

The zoning updates will go through the normal review process, including consideration by the Joint Planning Commission and final action by the City Commission. Public meetings will be held as part of this process before any changes are adopted. The hope is to have the changes implemented before the law goes into effect on July 1, 2026.

Developing the proposed zoning updates required significant research and analysis.

City staff reviewed the new state law, studied how other communities are responding, and evaluated options for implementing the law while protecting the character of Pikeville’s neighborhoods.

As part of that process, the city conducted an inventory of more than 1,500 single-family homes to better understand the size and development patterns of neighborhoods throughout the city. This information helped guide the development of compatibility standards and proposed residential zoning districts.

Now that the initial research and analysis has been completed, the city is sharing the proposed updates and inviting public review and feedback as part of the formal planning process.

Residents are encouraged to review the materials on this page and share their thoughts.

Comments can be submitted through the contact form on this page or by emailing:
Zoning2026@pikevilleky.gov

Residents may also attend public meetings during the review process.

Additional materials, including detailed zoning descriptions and draft ordinance language, will be added to this page as the review process continues.

No. The materials on this page reflect proposed zoning updates that are still under review.

The proposal will go through the normal public review process, including discussion by the Joint Planning Commission and consideration by the City Commission before any changes are adopted.

No. State law now requires that certain manufactured homes meeting specific standards be allowed in areas where single-family homes are permitted. The proposed zoning updates include compatibility standards intended to ensure new homes fit reasonably with surrounding homes.

No. The proposed updates will go through the normal public review process, including discussion by the Joint Planning Commission and approval by the City Commission before any changes are adopted. Residents are encouraged to review the materials and provide input during this process.

No existing homes will be required to change because of these updates. The zoning changes primarily affect how future development and new construction are regulated.

Zoning regulations are one of many factors that influence property values, along with market conditions, housing demand, and neighborhood investment.

One goal of the proposed zoning updates is to ensure that new homes are reasonably compatible with existing neighborhoods, including considerations such as home size, design standards, and placement on lots. These types of standards are intended to help maintain the character of neighborhoods as the city continues to grow.

Leave a Comment

April 2025 through February 2026

City staff researched zoning options, reviewed the new state law, studied zoning approaches used by other communities, and conducted an inventory of residential neighborhoods.

March 2026
Initial public release of proposed zoning updates and launch of the Zoning2026 information webpage.

April 14, 2026
Joint Planning Commission meeting planned to include a discussion of the proposed zoning updates.

May 2026 (anticipated)
Joint Planning Commission special meeting to consider a recommendation on the proposed ordinance.

May–June 2026 (anticipated)
City Commission readings of the ordinance adopting the zoning updates.

Before July 1, 2026
Goal of completing the review process before the effective date of new state law requirements.

Regularly Scheduled Commission Meetings: March 23, April 13, April 27, May 11, May 25,
June 8, June 22.
Joint Planning Commission Meetings: Regular Scheduled April 14, Special Meeting for approval
tentatively scheduled for mid-May.

 

Additional materials will be added to this page as the review process continues,
including:

• Detailed descriptions of proposed zoning districts
• Compatibility standards related to housing design and placement
• Information about zoning modernization updates (such as home-based businesses,
accessory dwelling units, and digital zoning map tools)
• Draft ordinance language for the proposed zoning amendments
• Additional meeting information and presentation materials

Residents are encouraged to check this page periodically for updates as more information becomes available.